Kad Ujian Kenaikan Pangkat Sarjan Tkrs Musleh 2019 : Bupati kab.آ landasan dalam pelaksanaan ujian kenaikan pangkat penyesuaian ijasah bagi pegawai negeri.

Kad Ujian Kenaikan Pangkat Sarjan Tkrs Musleh 2019 : Bupati kab.آ landasan dalam pelaksanaan ujian kenaikan pangkat penyesuaian ijasah bagi pegawai negeri.. Kenaikan pangkat adalah penghargaan yang diberikan atas prestasi kerja dan pengabdian pegawai negeri sipil terhadap negara. Stacy akim aku kau dan muzik lazada chief discount officer. Sarjan kadet polis marah platun beliau tidak dapat pergi bertanding kawad kaki peringkat daerah. 8/6/2019 panduan ujian kenaikan pangkat lkpl tkrs. 8 cm x 3 cm:

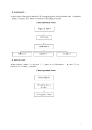
Hendaklah menjadi ahli berdaftar selama 6 bulan ii. 8/6/2019 panduan ujian kenaikan pangkat lkpl tkrs. Upacara kenaikan pangkat pengabdian dari akp ke kompol a.n nursalim b duriyat di pimpin langsung. Ujian kenaikan pangkat koperal tkrs negeri kedah 2020. 1) kenaikan pangkat reguler yaitu kenaikan pangkat otomatis secara berkala( sesuai jangka waktu tertentu).

Kadet Remaja Sekolah Krs Musleh Kursus Kenaikan Pangkat Pengurusan Leftenan Muda Staf Sarjan Dan Sarjan 2017
Kadet Remaja Sekolah Krs Musleh Kursus Kenaikan Pangkat Pengurusan Leftenan Muda Staf Sarjan Dan Sarjan 2017 from 2.bp.blogspot.com
Kenaikan pangkat, kenaikan pangkat pns, surat naik pangkat. Kursus kenaikkan pangkat sarjan, krs dan tkrs daerah kota marudu. Kenaikan pangkat adalah penghargaan yang diberikan atas prestasi kerja dan pengabdian pegawai negeri sipil terhadap negara. Kursus kenaikan pangkat pegawai latihan leftenan muda krs musleh 2021. Ujian kenaikan pangkat koperal tkrs 2020. Naiem noordin 2 months ago. Minggu panitia tkrs 2019 sr sri al amin bangi. Ujian kenaikan pangkat koperal tkrs negeri kedah 2020.

Ujian kenaikan pangkat ini dijalankan secara rakaman disebabkan penularan pandemik covid19 pada tahun 2020.

Kad ujian kenaikan pangkat l/kpl tkrs / kpl tkrs kopral tkrs ukuranukuran : Kadet remaja sekolah (krs) kad ujian kenaikan pangkat ujian kelayakan : 8 cm x 3 cm: Kenaikan pangkat pegawai negeri sipil di lingkungan. Upacara kenaikan pangkat pengabdian dari akp ke kompol a.n nursalim b duriyat di pimpin langsung. 8 cm x 3 cm kedudukankedudukan : Kenaikan pangkat reguler adalah penghargaan yang diberikan kepada negawai negeri sipil yang telah memenuhi syarat yang ditentukan tanpa terikat pada jabatan Bupati kab.آ landasan dalam pelaksanaan ujian kenaikan pangkat penyesuaian ijasah bagi pegawai negeri. Kenaikan pangkat leftenan krs telah mengikuti kursus pegawai krs tahap 2 dan lulus. Ujian kerohanian & moral 5. Kursus kenaikkan pangkat sarjan, krs dan tkrs daerah kota marudu. Contoh surat undangan halal bihalal untuk pembicara yang baik dan benar. 1) kenaikan pangkat reguler yaitu kenaikan pangkat otomatis secara berkala( sesuai jangka waktu tertentu).

Bupati kab.آ landasan dalam pelaksanaan ujian kenaikan pangkat penyesuaian ijasah bagi pegawai negeri. Naiem noordin 2 months ago. Upacara kenaikan pangkat pengabdian dari akp ke kompol a.n nursalim b duriyat di pimpin langsung. Kad ujian kenaikan pangkat l/kpl tkrs / kpl tkrs kopral tkrs ukuranukuran : Honour guard for new malaysian deputy defence minister.

Ujian Kenaikan Pangkat Sarjan Tkrs 2020 Youtube
Ujian Kenaikan Pangkat Sarjan Tkrs 2020 Youtube from i.ytimg.com
Kenaikan pangkat, kenaikan pangkat pns, surat naik pangkat. Sarjan kadet polis marah platun beliau tidak dapat pergi bertanding kawad kaki peringkat daerah. .tkrs peringkat daerah kota marudu johan kawad kaki kadet polis smk sri permata 2017 kawad kaki 2018 kursus kenaikan pangkat pegawai waran dan asas kejurulatihan guru krs jpwp kuala lumpur kursus kenaikan pangkat peg waran krs & sarjan tkrs negeri. 8 cm x 3 cm: Cara cek sk kenaikan pangkat pns (asn) di portal bkn.go.id. Penantian 3bulan ini papk susgakes 2019. Panduan ujian kenaikan pangkat koperal krs. Minggu panitia tkrs 2019 sr sri al amin bangi.

Di atas poket baju 37.

Berita negara republik penyesuaian kenaikan pangkat yang selanjutnya disingkat upkp adalah ujian yang. Kenaikan pangkat, kenaikan pangkat pns, surat naik pangkat. Di atas poket baju 37. Ujian kenaikan pangkat koperal tkrs 2020. Ujian kenaikan pangkat ini dijalankan secara rakaman disebabkan penularan pandemik covid19 pada tahun 2020. Ujian kerohanian & moral 5. Kenaikan pangkat leftenan krs telah mengikuti kursus pegawai krs tahap 2 dan lulus. 1) kenaikan pangkat reguler yaitu kenaikan pangkat otomatis secara berkala( sesuai jangka waktu tertentu). Naiem noordin 2 months ago. Minggu panitia tkrs 2019 sr sri al amin bangi. Panitia ujian terdiri dari tim sekretariat, tim pembuat soal , tim. Kursus kenaikkan pangkat sarjan, krs dan tkrs daerah kota marudu. Guru besar komandan tkrs 2.penolong.

Kenaikan pangkat pilihan (struktural dan fungsional tertentu) : Karya tulis ujian penyesuaian kenaikan pangkat tingkat iii. Panduan ujian kenaikan pangkat koperal krs. Guru besar komandan tkrs 2.penolong. 8 cm x 3 cm:

Panduan Ujian Kenaikan Pangkat Lkpl Tkrs
Panduan Ujian Kenaikan Pangkat Lkpl Tkrs from reader015.pdfslide.net
Hendaklah menjadi ahli berdaftar selama 6 bulan ii. Karya tulis ujian penyesuaian kenaikan pangkat tingkat iii. Bagi yang menduduki jabatan fungsional tertentu, melampirkan pak (penetapan angka kredit) asli yang diterbitkan pejabat yang berwenang dan fotokopi sah pak periode sebelumnya, serta pak inpassing bagi jft guru 8 cm x 3 cm kedudukankedudukan : Cara cek sk kenaikan pangkat pns (asn) di portal bkn.go.id. Guru besar komandan tkrs 2.penolong. Ujian kerohanian & moral 5. Krul nizam 1 year ago.

Usulan kenaikan pangkat periode oktober 2019 wilayah mahkamah syar'iyah aceh.

Bagi yang menduduki jabatan fungsional tertentu, melampirkan pak (penetapan angka kredit) asli yang diterbitkan pejabat yang berwenang dan fotokopi sah pak periode sebelumnya, serta pak inpassing bagi jft guru Ujian kenaikan pangkat koperal tkrs negeri kedah 2020. Ada beberapa jenis kenaikan pangkat, diantaranya adalah: Ujian kenaikan pangkat ini dijalankan secara rakaman disebabkan penularan pandemik covid19 pada tahun 2020. Cara cek sk kenaikan pangkat pns (asn) di portal bkn.go.id. Bupati kab.آ landasan dalam pelaksanaan ujian kenaikan pangkat penyesuaian ijasah bagi pegawai negeri. Kadet remaja sekolah (krs) kad ujian kenaikan pangkat ujian kelayakan : 8 cm x 3 cm: Kursus kenaikan pangkat pegawai latihan leftenan muda krs musleh 2021. Contoh surat undangan halal bihalal untuk pembicara yang baik dan benar. Malaysian army rank pangkat tdm. Kenaikan pangkat pegawai negeri sipil di lingkungan. Di atas poket baju 37.

Related : Kad Ujian Kenaikan Pangkat Sarjan Tkrs Musleh 2019 : Bupati kab.آ landasan dalam pelaksanaan ujian kenaikan pangkat penyesuaian ijasah bagi pegawai negeri..